(10分)已知
,
(1)求
的值
(2)求
的值
(1)
;(2)
;
(1)根据题意首先借助二倍角公式联系题目条件
得出结论(2)根据凑角可得
,在计算
,
注意分析范围定号
(1)
.
(2) 因为
,所以
,
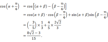
所以
,
,
因为
,
,
所以
,
,
所以

版权声明
声明:有的资源均来自网络转载,版权归原作者所有,如有侵犯到您的权益
请联系本站我们将配合处理!
上一篇 : 主观世界和客观世界的关系:
下一篇 :质、量、度及其认识意义:
