2004年1月,我国月球探测计划“嫦娥工程”正式启动,从此科学家对月球的探索越来越深入。2007年10月24日发射了“嫦娥1号”探月卫星,2010年10月1日我国又成功发射了探月卫星“嫦娥二
问题描述:
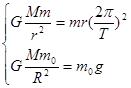
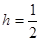
2004年1月,我国月球探测计划“嫦娥工程”正式启动,从此科学家对月球的探索越来越深入。2007年10月24日发射了“嫦娥1号”探月卫星,2010年10月1日我国又成功发射了探月卫星“嫦娥二号”。预计2013年“嫦娥三号”将携带月球车登上月球。⑴若已知地球半径为R,地球表面的重力加速度为g,月球绕地球运动的周期为T,月球绕地球的运动近似看做匀速圆周运动,试求出月球绕地球运动的轨道半径;⑵若宇航员随登月飞船登陆月球后,在离月球表面h高处沿水平方向以初速度v 0 抛出一个小球,经过时间t落到月球表面。已知月球半径为r,万有引力常量为 ,试求出月球的质量 ;⑶已知月球半径为r,月球表面的重力加速度为 (g为地球表面的重力加速度)。当“嫦娥三号”登陆月球以后,若要在月球上发射一颗月球的卫星,最小的发射速度为多少? |
最佳答案: (1) (2) (3) |
⑴由 可得 …………(4分)⑵由 和 g 月 t 2 ,得 …………(4分)⑶由 得 …………(4分) |
版权声明
声明:有的资源均来自网络转载,版权归原作者所有,如有侵犯到您的权益
请联系本站我们将配合处理!

,试求出月球的质量
;⑶已知月球半径为r,月球表面的重力加速度为
(g为地球表面的重力加速度)。当“嫦娥三号”登陆月球以后,若要在月球上发射一颗月球的卫星,最小的发射速度为多少?
(2)
(3)
可得
…………(4分)⑵由
和
g 月 t 2 ,得
…………(4分)⑶由
得
…………(4分)