a的x次方导数是(a^x)'=(lna)(a^x)。实质上,求导就是一个求极限的过程,导数的四则运算法则也来源于极限的四则运算法则。

a的x次方求导
(a^x)'=(lna)(a^x)
求导证明:
y=a^x
两边同时取对数,得:lny=xlna
两边同时对x求导数,得:y'/y=lna
所以y'=ylna=a^xlna,得证
对于可导的函数f(x),x↦f'(x)也是一个函数,称作f(x)的导函数(简称导数)。寻找已知的函数在某点的导数或其导函数的过程称为求导。实质上,求导就是一个求极限的过程,导数的四则运算法则也来源于极限的四则运算法则。反之,已知导函数也可以倒过来求原来的函数,即不定积分。
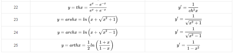
求导公式表


版权声明
声明:有的资源均来自网络转载,版权归原作者所有,如有侵犯到您的权益
请联系本站我们将配合处理!
上一篇 : sec是什么意思 和cos有什么关系
下一篇 :线性回归方程公式 求法是什么
