不顾国际社会的强烈反对,美国于2001年7月14日进行导弹防御系统拦截技术的第四次实验,军方先从加利福尼亚州的危登堡空军基地发射一枚作为标靶的洲际弹道导弹和诱弹,再从马绍尔

所属学校:全国通用 科目:化学 2021-10-04 21:01:23

问题描述:

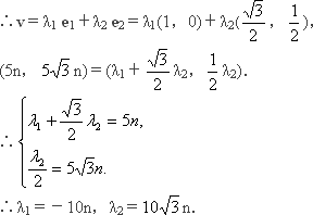
不顾国际社会的强烈反对,美国于2001年7月14日进行导弹防御系统拦截技术的第四次实验,军方先从加利福尼亚州的危登堡空军基地发射一枚作为标靶的洲际弹道导弹和诱弹,再从马绍尔群岛的夸贾林环礁发射另一枚导弹对前一枚导弹进行拦截,实施拦截时必须准确计算标靶的飞行速度、瞬时位置.现假设标靶与拦截导弹的飞行轨迹均在同一平面内,标靶飞行速度为|v|=10 n mk/h.令v=λ1e1+λ2e2,基底e1、e2是平面内的单位向量.若标靶的飞行方向为北偏东30°,e1方向正东,e2方向为北偏东60°,试求λ1、λ2的值.



最佳答案:

版权声明

声明:有的资源均来自网络转载,版权归原作者所有,如有侵犯到您的权益 请联系本站我们将配合处理!

分享: