如果一个数列从第二项起,每一项与它的前一项的比都等于一个常数(不为0),那么,这个数列就叫做等比数列。这个常数叫做等比数列的公比。如数列:2、4、8、16、······每一项与前一项的比值:4÷2=8÷4=16÷8=2,所以这个数列是等比数列,而它的公比就是2。

等比数列求和公式
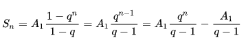
q≠1时 Sn=a1(1-q^n)/(1-q)=(a1-anq)/(1-q)
q=1时Sn=na1
(a1为首项,an为第n项,d为公差,q 为等比)
这个常数叫做等比数列的公比,公比通常用字母q表示(q≠0),等比数列a1≠ 0。注:q=1 时,{an}为常数列。利用等比数列求和公式可以快速的计算出该数列的和。
等比数列的性质
(1)若m、n、p、q∈N+,且m+n=p+q,则am×an=ap×aq。
(2)在等比数列中,依次每k项之和仍成等比数列。
(3)若“G是a、b的等比中项”则“G2=ab(G≠0)”。
(4)若{an}是等比数列,公比为q1,{bn}也是等比数列,公比是q2,则{a2n},{a3n}…是等比数列,公比为q1^2,q1^3…{can},c是常数,{an×bn},{an/bn}是等比数列,公比为q1,q1q2,q1/q2。
(5)若(an)为等比数列且各项为正,公比为q,则(log以a为底an的对数)成等差,公差为log以a为底q的对数。
(6)等比数列前n项之和

在等比数列中,首项A1与公比q都不为零。
注意:上述公式中An表示A的n次方。
(7)由于首项为a1,公比为q的等比数列的通项公式可以写成an=(a1/q)×qn,它的指数函数y=ax有着密切的联系,从而可以利用指数函数的性质来研究等比数列
版权声明
声明:有的资源均来自网络转载,版权归原作者所有,如有侵犯到您的权益
请联系本站我们将配合处理!
