求定积分主要的方法有分部积分法和换元积分法。分部积分法是由微分的乘法法则和微积分基本定理推导而来的。它的主要原理是将不易直接求结果的积分形式,转化为等价的易求出结果的积分形式的。

定积分怎么算
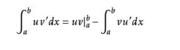
分部积分法
设u=u(x),v=v(x)均在区间[a,b]上可导,且u′,v′∈R([a,b]),则有分部积分公式:

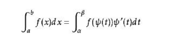
换元积分法
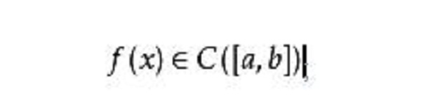
如果(1)

(2)x=ψ(t)在[α,β]上单值、可导;
(3)当α≤t≤β时,a≤ψ(t)≤b,且ψ(α)=a,ψ(β)=b,则

定积分的性质

版权声明
声明:有的资源均来自网络转载,版权归原作者所有,如有侵犯到您的权益
请联系本站我们将配合处理!
上一篇 : 狼子野心文言文翻译 寓意是什么
下一篇 :lg怎么算 运算法则是什么
