点P是在平面直角坐标系中不在x轴上的一个动点,满足:过点P可作抛物线x2=y的两条切线,切点分别为A,B.
(Ⅰ)设点A(x1 , y1),求证:切线PA的方程为y=2x1x﹣x12;
(Ⅱ)若直线AB交y轴于R,OP⊥AB于Q点,求证:R是定点并求
的最小值.

证明:(Ⅰ)设以A(x1 , x12)为切点的切线方程为y﹣x12=k(x﹣x1),
联立抛物线方程,可得x2﹣kx+kx1﹣x12=0,
由△=k2﹣4kx1+4x12=(k﹣2x1)2=0,
得k=2x1 , 所以切线PA:y=2x1x﹣x12;
(Ⅱ)设B(x2 , x22),
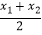
由(Ⅰ)可得切线PB:y=2x2x﹣x22 , 可得P(
,x1x2),
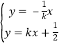
设AB:y=kx+m与y=x2联立得x2﹣kx﹣m=0,
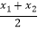
即P(
,﹣m),由题意可得k•kOP=k•
=﹣2m=﹣1,
解得m=
,即R(0,
),由
可得Q(﹣
,
),
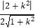
|PQ|=
,|QR|=
=
,
所以
=
=|k|+
≥2
,
当且仅当k=±
时,
的最小值为2
.
(Ⅰ)设以A(x1 , x12)为切点的切线方程为y﹣x12=k(x﹣x1),联立抛物线方程,运用判别式为0,求得斜率k,即可得证;
(Ⅱ)由(Ⅰ)可得P(
, x1x2),设直线AB方程,联立抛物线方程,求得P的坐标,由垂直的条件,可得R的坐标,进而得到|PQ|,|QR|,运用基本不等式即可得到最小值.
版权声明
声明:有的资源均来自网络转载,版权归原作者所有,如有侵犯到您的权益
请联系本站我们将配合处理!
