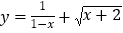
函数
中,自变量x的取值范围是____________.
且
根据使分式和二次根式有意义的要求列出关于x的不等式组,解不等式组即可求得x的取值范围.
详解:
∵
有意义,
∴
,解得:
且
.
故答案为:
且
.
版权声明
声明:有的资源均来自网络转载,版权归原作者所有,如有侵犯到您的权益
请联系本站我们将配合处理!
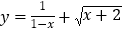
函数
中,自变量x的取值范围是____________.
且
根据使分式和二次根式有意义的要求列出关于x的不等式组,解不等式组即可求得x的取值范围.
详解:
∵
有意义,
∴
,解得:
且
.
故答案为:
且
.
声明:有的资源均来自网络转载,版权归原作者所有,如有侵犯到您的权益
请联系本站我们将配合处理!