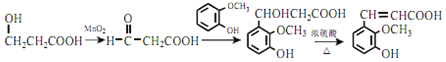
聚酯类废品的综合利用具有重要的意义。下面是以聚酯类废品的生物降解产物 A (CH2OHCOOH)为原料合成食用香料香兰素 E 及聚酯类高分子化合物 H 的路线:
聚酯类废品的综合利用具有重要的意义。下面是以聚酯类废品的生物降解产物 A (CH2OHCOOH)为原料合成食用香料香兰素 E 及聚酯类高分子化合物 H 的路线:

回答下列问题:
(1)下列关于高分子化合物的说法正确的是________。(填标号)
a.蛋白质的盐析过程是物理变化
b.淀粉和纤维素的分子式均为(C6H10O5)n,它们互为同分异构体
c.制备聚乙烯、酚醛树脂的反应都属于聚合反应
d.油脂和蛋白质都属于天然高分子化合物
(2)A 中的官能团名称为__________。
(3)B 生成 C 的反应类型为__________,F 生成 G 的反应类型为__________。
(4)F 的化学名称是__________,由 G 生成 H 的化学方程式为__________。
(5)苯环上含有两个取代基的化合物 W 是 E 的同分异构体,W 可以发生水解反应,
也可与 FeCl3 溶液发生显色反应,则 W 共有______种(不含立体异构),写出其中核磁共振氢谱为五组峰的结构简式:__________。
(6)参照上述合成路线,以 CH2OHCH2COOH 和
为原料(无机试剂任选),设计制备
的合成路线__________
ac 羟基,羧基 加成反应 取代反应 乙二酸或草酸
或
9
。
(1)a.蛋白质的盐析过程属于物理变化,正确;b.淀粉和纤维素的分子式均为(C6H10O5)n,但N不同,不是同分异构体,错误;c.制备聚乙烯的反应属于加聚反应、制备酚醛树脂的反应属于缩聚反应,都属于聚合反应,正确;d.油脂不属于天然高分子化合物,错误;故选ac;
(2)A为
,其 中的官能团有羟基,羧基,故答案为:羟基,羧基;
(3)根据流程图,A被二氧化锰氧化生成B,B为OHCCOOH,B 与
发生加成反应生成 C,F 与SOCl2发生取代反应生成 G ,故答案为:加成反应; 取代反应;
(4)F 为
,化学名称为乙二酸,根据流程图,G 与
发生缩聚反应生成 H ,反应的化学方程式为
,故答案为:乙二酸;
;
(5)E为
,苯环上含有两个取代基的化合物 W 是 E 的同分异构体,W 可以发生水解反应,说明属于酯类,也可与 FeCl3 溶液发生显色反应,说明含有酚羟基,则 W 的结构有
(包括邻位、间位、对位3种)、
(包括邻位、间位、对位3种)、
(包括邻位、间位、对位3种),共9种,其中核磁共振氢谱为五组峰的结构简式为
,故答案为:9;
;
(6)以 CH2OHCH2COOH 和
为原料制备
。根据题干流程图的信息,可以将CH2OHCH2COOH用二氧化锰氧化生成
,在与
反应生成
,最后发生消去反应生成
,合成路线为
,故答案为:
。
版权声明
声明:有的资源均来自网络转载,版权归原作者所有,如有侵犯到您的权益
请联系本站我们将配合处理!
