科学家从牛的胰脏中分离出一条由76个氨基酸组成的多肽Ub.研究发现,Ub在细胞自我监测和去除某些蛋白质(如靶蛋白)的机制中扮演着重要角色.如果某个蛋白质被贴上Ub标签,就会被运
问题描述:
科学家从牛的胰脏中分离出一条由76个氨基酸组成的多肽Ub.研究发现,Ub在细胞自我监测和去除某些蛋白质(如靶蛋白)的机制中扮演着重要角色.如果某个蛋白质被贴上Ub标签,就会被运送到细胞内的特定部位进行水解,如图1:
请回答问题:
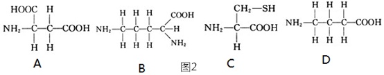
(1)Ub在___(细胞器)中合成,合成过程需要脱去___个水分子,这种化学反应称为___,形成的肽键可表示为___.若它在小肠中被水解,产物不可能是图2物质中的___(填字母)

(2)图1中所利用的能量主要是由___(细胞器)提供的,它与叶绿体都含有少量的___,为半自主性细胞器.
(3)若某个靶蛋白由一条多肽链组成,在Ub的作用下,该靶蛋白被彻底水解成201个氨基酸,则其相对分子质量较原来增加了___.若该靶蛋白的分子式为CxHyOaNbS2(a>202,b>201),并且仅由图3的5种氨基酸组成,则其彻底水解后将会得到___个天冬氨酸

最佳答案: (1)Ub是一条由76个氨基酸组成的多肽链,则其所含肽键数目=氨基酸数目-肽链数=76-1=75个;多肽链是在核糖体上合成的;氨基酸通过脱水缩合形成多肽链;肽键的结构式为-CO-NH-(或-NH-CO-或?
);多肽水解的产物是氨基酸,其结构通式为
,因此不可能产生图2中D物质.
(2)能量由ATP提供,而动物细胞生命活动所需的ATP主要来自线粒体的有氧呼吸;线粒体和叶绿体都含有少量的DNA和RNA,属于半自主性细胞器.
(3)若某个靶蛋白由一条多肽链组成,在Ub的作用下,该靶蛋白被彻底水解成201个氨基酸,则水解时需要消耗201-1=200个水分子,因此其相对分子质量较原来增加了18×200=3600;从组成多肽链的五种氨基酸结构可知:天门冬氨酸R基上有一个-COOH,那么由201个氨基酸缩合的肽链就有200个肽键,200个O,加上多肽链末端一个-COOH,共202个O,多出的O数量为a-202个,换算成-COOH数为?
| a-202 |
| 2 |
故答案为:
(1)核糖体 ???????75 ?????????脱水缩合-CO-NH-(或-NH-CO-或?
)???????D(2)线粒体????????DNA和RNA
(3)3600???????
| a-202 |
| 2 |
版权声明
声明:有的资源均来自网络转载,版权归原作者所有,如有侵犯到您的权益
请联系本站我们将配合处理!
下一篇 :75公斤除以1.75平方等于多少
