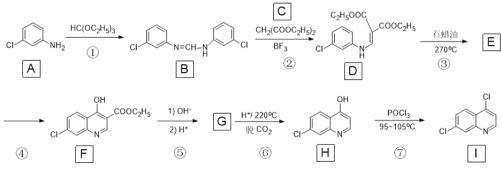
临床结果显示,磷酸氯喹对新冠肺炎有一定诊疗效果。化合物 I 是合成磷酸氯喹的中间体,一种合成路线如下:

回答下列问题:
(1)A 中的官能团名称是______________。
(2)C 的化学名称为________________。
(3)⑦的反应类型是___________________。
(4)已知③为取代反应,另一生成物为乙醇,E 的结构简式为_____________________;
(5)写出 F 与足量NaOH 溶液反应的化学方程式__________________;
(6)H 在一定条件下可以转化为 M(
),请写出任意一种同时符合下列条件 M 的同分异构体__________________;①含有-NH2 的芳香族化合物; ②核磁共振氢谱共有 4 组峰
(7)设计以
(对羟基苄基氯)、CH3CH2OH 为主要原料制备
的合成路线________。
氨基、氯原子 丙二酸二乙酯 取代反应
+NaOH
+ CH3CH2OH
(或其他正确答案均可) 







A发生取代反应生成B,B和丙二酸二乙酯反应生成D,D发生取代反应生成E(
),
经过反应生成F,F发生水解反应、酸化得到G,G发生脱CO2反应得到H,H发生取代反应得到I。
(7)以对羟基苄氯(
)、CHCH2OH为主要原料制备(
),
发生取代反应、水解反应、氧化反应得到对氯苯甲酸,对氯苯甲酸发生酯化反应得到目标产物。
(1)A 中的官能团名称是氨基、氯原子;故答案为:氨基、氯原子。
(2)根据C的结构简式得到C的化学名称为丙二酸二乙酯;故答案为:丙二酸二乙酯。
(3)根据反应⑦前后的结构简式分析,H中—OH被I中—Cl取代,因此反应类型是取代反应;故答案为:取代反应。
(4)已知③为取代反应,另一生成物为乙醇,根据D反应生成乙醇和E,得到E 的结构简式为
;故答案为:
。
(5)F与足量NaOH溶液反应的化学方程式
+NaOH
+ CH3CH2OH;故答案为:
+NaOH
+ CH3CH2OH。
(6)H 在一定条件下可以转化为 M(
),请写出任意一种同时符合下列条件 M 的同分异构体
;故答案为:
(或其他正确答案均可)。
(7)
在POCl3作用下反应生成
,
在碱性条件下水解生成
,
催化氧化变为
,
和乙醇发生酯化反应生成
,其流程图为:







;故答案为:







。
版权声明
声明:有的资源均来自网络转载,版权归原作者所有,如有侵犯到您的权益
请联系本站我们将配合处理!
