沐舒坦是新近应用的一种溶解分泌物,是促进粘液排出、改善呼吸状况的有效药物,沐舒坦结构简式如图所示:可由甲苯和X为起始原料合成沐舒坦,其合成路线如下:已知:Ⅰ、核磁共振氢
问题描述:
沐舒坦是新近应用的一种溶解分泌物,是促进粘液排出、改善呼吸状况的有效药物,沐舒坦结构简式如图所示:
可由甲苯和X为起始原料合成沐舒坦,其合成路线如下:

已知:
Ⅰ、核磁共振氢谱表明A中有4种氢;
Ⅱ、C的化学式为C7H7NO2;
Ⅲ、同一个碳上连两个或两个以上的羟基不稳定会自动脱水形成羧基.
(1)写出A、X的结构简式___、___;
(2)写出B生成C的化学方程式___;
(3)D含苯环的同分异构体有___种,写出核磁共振氢谱中峰面积比3:2:2:2的化合物的结构简式;
(4)E生成F的过程中生成的一种副产物G在NaOH水溶液中生成H,H可发生银镜反应,试写出G生成H的反应化学方程式___,写出H发生银镜反应的离子方程式___.
最佳答案: 结合产物的结构简式,利用流程图和起始原料的结构简式以及核磁共振氢谱表明A中有4种氢,知A为
,A→B是对甲基苯磺酸的硝化反应,生成的B为
,B在酸性条件下水解生成C且C的化学式为C7H7NO2,可知C为
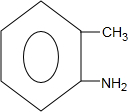
,C在Fe+HCl条件下发生还原反应生成的D的结构简式为
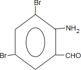
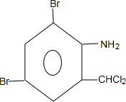
,D在溴水中发生苯环上-NH2邻对位的取代反应生成E,E在光照条件下与氯气发生甲基上的取代反应,生成的F有三种可能,1取代、2取代、3取代,其1氯取代物与X反应生成的生成物与HCl反应生成沐舒坦,据沐舒坦的结构简式可知,X物质的结构简式为:
,
(1)结合产物的结构简式,利用流程图和起始原料的结构简式以及核磁共振氢谱表明A中有4种氢,知A为
,据沐舒坦的结构简式可知,X物质的结构简式为:
,故答案为:
;
;
(2)B为
,B在酸性条件下水解生成C且C的化学式为C7H7NO2,可知C为
,反应的化学方程式为
+H2O→
+H2SO4,
故答案为:
+H2O→
+H2SO4;
(3)D的结构简式为
,其含苯环的同分异构体有甲基和氨基临间对3种,还有氨基连在甲基上1种,共4种,核磁共振氢谱中峰面积比3:2:2:2的结构是甲基与氨基在对位的结构,结构简式为
,故答案为:4;
;
(4)E在光照条件下与氯气发生甲基上的取代反应,生成的F有三种可能,1取代、2取代、3取代,E生成F的过程中生成的一种副产物G在NaOH水溶液中生成H,H可发生银镜反应,说明G为2取代产物,结构简式为
,其在NaOH溶液中水解的化学方程式为
+2NaOH→
+2NaCl+H2O,
发生银镜反应的离子方程式为
+2Ag(NH3)2++2OH-→
+NH4++2Ag↓+3NH3+H2O,
故答案为:
+2NaOH→
+2NaCl+H2O;
+2Ag(NH3)2++2OH-→
+NH4++2Ag↓+3NH3+H2O.
版权声明
声明:有的资源均来自网络转载,版权归原作者所有,如有侵犯到您的权益
请联系本站我们将配合处理!
