排列有两种定义,但计算方法只有一种,凡是符合这两种定义的都用这种方法计算。定义的前提条件是m≦n,m与n均为自然数。下面介绍排列组合c的计算方法及公式,供参考。

排列组合中A和C怎么算
排列A(n,m)=n×(n-1).(n-m+1)=n!/(n-m)!(n为下标,m为上标,以下同)
组合C(n,m)=P(n,m)/P(m,m)=n!/m!(n-m)!;
例如A(4,2)=4!/2!=4*3=12
C(4,2)=4!/(2!*2!)=4*3/(2*1)=6
A32是排列,C32是组合
比如A32就是3乘以2等于6
A63就是6*5*4
就是从大数开始乘后面那个数表示有多少个数。A72等于7*6*2就有两位A52=5*4
那么C32就是还要除以一个数比如C32就是A32再除以A22
C53就是A53除以A33
组合的定义及其计算公式
组合的定义有两种。定义的前提条件是m≦n。
①从n个不同元素中,任取m个元素并成一组,叫做从n个不同元素中取出m个元素的一个组合。
②从n个不同元素中,取出m个元素的所有组合的个数,叫做从n个不同元素中取出m个元素的组合数。
③用例子来理解定义:从4种颜色中,取出2种颜色,能形成多少种组合。
解:C(4,2)=A(4,2)/2!={[4x(4-1)x(4-2)x(4-3)x(4-4+1)]/[2x(2-1)x(2-2+1)]}/[2x(2-1)x(2-2+1)]=[(4x3x2x1)/2]/2=6。

[计算公式]
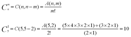
组合用符号C(n,m)表示,m≦n。
公式是:C(n,m)=A(n,m)/m!或C(n,m)=C(n,n-m)。
例如:C(5,2)=A(5,2)/[2!x(5-2)!]=(1x2x3x4x5)/[2x(1x2x3)]=10。

版权声明
声明:有的资源均来自网络转载,版权归原作者所有,如有侵犯到您的权益
请联系本站我们将配合处理!
