如图,A,B,C为⊙O上的三个点,AD是∠BAC的平分线,交⊙O于点D,过B作⊙O的切线交Ad的延长线于点E.
(Ⅰ)证明:BD平分∠EBC;
(Ⅱ)证明:AE•DC=AB•BE.

解:(1)因为BE是⊙O的切线,所以∠EBD=∠BAD
又因为∠CBD=∠CAD,∠BAD=∠CAD
所以∠EBD=∠CBD,即BD平分∠EBC.
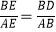
(2)由(1)可知∠EBD=∠BAD,且∠BED=∠BED,有△BDE∽△ABE,所以
,
又因为∠BCD=∠BAE=∠DBE=∠DBC,所以∠BCD=∠DBC,BD=CD
所以
,
所以AE•DC=AB•BE

(1)由BE是⊙O的切线,可得∠EBD=∠BAD,又∠CBD=∠CAD,∠BAD=∠CAD,从而可求∠EBD=∠CBD,即可得解.
(2)先证明△BDE∽△ABE,可得
, 又可求∠BCD=∠DBC,BD=CD,从而可得
, 即可得解.
版权声明
声明:有的资源均来自网络转载,版权归原作者所有,如有侵犯到您的权益
请联系本站我们将配合处理!
