如图所示,边长为L、匝数为n的正方形金属线框,它的质量为m,电阻为R,用细线把它悬挂于一个有界的匀强磁场边缘.金属线框的上半部分处于磁场内,下半部分处于磁场外,磁场随时间的变化规律为B=kt.求:
如图所示,边长为L、匝数为n的正方形金属线框,它的质量为m,电阻为R,用细线把它悬挂于一个有界的匀强磁场边缘.金属线框的上半部分处于磁场内,下半部分处于磁场外,磁场随时间的变化规律为B=kt.求:

(1)线框中的电流强度为多大?
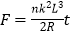
(2)t时刻线框受到的安培力为多大?
【答案】(1)
(2)
(1)线框中的电动势
,电流为
(2)安培力为
版权声明
声明:有的资源均来自网络转载,版权归原作者所有,如有侵犯到您的权益
请联系本站我们将配合处理!
