设F1 , F2分别为椭圆C:
的左、右两个焦点,若椭圆C上的点A(1,
)到F1,F2两点的距离之和等于4.
(1)求出椭圆C的方程和焦点坐标;
(2)过点P(0,
)的直线与椭圆交于两点M、N,若OM⊥ON,求直线MN的方程.
解:(1)椭圆C的焦点在x轴上,
由椭圆上的点A到F1、F2两点的距离之和是4,得2a=4,即a=2,
又点A(1,
)在椭圆上,∴
,∴b2=3,∴c2=1,
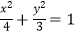
所以椭圆C的方程为
.F1(-1,0),F2(1,0)
(2)直线MN不与x轴垂直,设直线MN方程为y=kx+
,
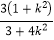
代入椭圆C的方程得(3+4k2)x2+12kx﹣3=0,
设M(x1 , y1),N(x2 , y2),则x1+x2=﹣
,x1x2=﹣
,且△>0成立.
又
=x1x2+y1y2=x1x2+( kx1+
)(kx2+
)=﹣
﹣
+
=0,
∴16k2=5,k=±
,
∴MN方程为y=±
x+
(1)利用椭圆上的点A到F1、F2两点的距离之和是4,可求a,利用点A(1,
)在椭圆上,可求b,从而求出椭圆C的方程和焦点坐标;
(2)设直线MN方程为y=kx+
, 代入椭圆C的方程,利用韦达定理即向量知识,建立方程,即可求得直线MN的方程.
【考点精析】本题主要考查了椭圆的标准方程的相关知识点,需要掌握椭圆标准方程焦点在x轴:
,焦点在y轴:
才能正确解答此题.
版权声明
声明:有的资源均来自网络转载,版权归原作者所有,如有侵犯到您的权益
请联系本站我们将配合处理!
