设函数f(x)=lnx+x2﹣ax(a∈R).
(Ⅰ)当a=3时,求函数f(x)的单调区间;
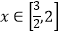
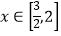
(Ⅱ)若函数f(x)有两个极值点x1 , x2 , 且x1∈(0,1],求证:f(x1)﹣f(x2)≥﹣
+ln2;
(Ⅲ)设g(x)=f(x)+2ln
, 对于任意a∈(2,4),总存在
, 使g(x)>k(4﹣a2)成立,求实数k的取值范围.
(Ⅰ)解:f(x)的定义域为(0,+∞),f′(x)=
,
令f′(x)>0,可得0<x<
或x>1,f′(x)<0,可得
<x<1,
∴f(x)的递增区间为(0,
)和(1,+∞),递减区间为(
,1);
(Ⅱ)证明:∵函数f(x)有两个极值点x1 , x2 ,
∴f′(x)=
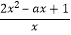
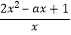
=0,即2x2﹣ax+1=0有两个不相等的实数根,
∴x1+x2=
,x1x2=
∴2(x1+x2)=a,x2=
,
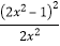
∴f(x1)﹣f(x2)=lnx1+x12﹣ax1﹣(lnx2+x22﹣ax2)=2lnx1﹣x12+
+ln2(0<x≤1).
设F(x)=2lnx﹣x2+
+ln2(0<x≤1),则F′(x)=﹣
<0,
∴F(x)在(0,1)上单调递减,
∴F(x)≥F(1)=﹣
+ln2,即f(x1)﹣f(x2)≥﹣
+ln2;
(Ⅲ)解:g(x)=f(x)+2ln
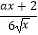
=2ln(ax+2)+x2﹣ax﹣2ln6,
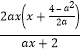
∴g′(x)=
,
∵a∈(2,4),∴x+
>0,
∴g′(x)>0,
∴g(x)在
上单调递增,
∴g(x)max=g(2)=2ln(2a+2)﹣2a+4﹣2ln6,
∴2ln(2a+2)﹣2a+4﹣2ln6>k(4﹣a2)在(2,4)上恒成立.
令h(a)=2ln(2a+2)﹣2a+4﹣2ln6﹣k(4﹣a2),则h(2)=0,
∴h(a)>0在(2,4)上恒成立.
∵h′(a)=
,
k≤0时,h′(a)<0,h(a)在(2,4)上单调递减,h(a)<h(2)=0,不合题意;
k>0时,h′(a)=0,可得a=
.
①
>2,即0<k<
时,h(a)在(2,
)上单调递减,存在h(a)<h(2)=0,不合题意;
②
≤2,即k≥
时,h(x)在(2,4)上单调递增,h(a)>h(2)=0,满足题意.
综上,实数k的取值范围为[
,+∞).
(Ⅰ)当a=3时,求导数,利用导数的正负,即可求函数f(x)的单调区间;
(Ⅱ)函数f(x)有两个极值点x1 , x2 , 则f′(x)=
=0,即2x2﹣ax+1=0有两个不相等的实数根,结合韦达定理,可得f(x1)﹣f(x2),构造新函数F(x)=2lnx﹣x2+
+ln2(0<x≤1),确定其单调性,即可得出结论;
(Ⅲ)确定g(x)在
上单调递增,可得g(x)max=g(2)=2ln(2a+2)﹣2a+4﹣2ln6,h(a)=)=2ln(2a+2)﹣2a+4﹣2ln6﹣k(4﹣a2),分类讨论,确定单调性,即可得出结论.
版权声明
声明:有的资源均来自网络转载,版权归原作者所有,如有侵犯到您的权益
请联系本站我们将配合处理!
