铜及其合金是人类最早使用的金属材料,铜的化合物在现代生活和生产中有着广泛的应用。
(1)请写出铜的基态原子核外电子排布式:___________。
(2)铜的熔点比钙的高,其原因是____________。
(3)金属铜的堆积方式为下图中的______(填字母序号)。

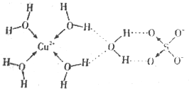
(4)科学家通过 X 射线推测,胆矾的结构如下图所示。

胆矾的阳离子中心原子的配位数为______,阴离子的空间构型为_______。胆矾中所含元素的电负性从大到小的顺序为_________(用元素符号作答)。
(5)铜与Cl原子构成晶体的晶胞结构如右图所示,该晶体的化学式为______,已知该晶体的密度为 4.14g/cm3,则该晶胞的边长为_______pm(写计算式)。将该物质气化后实验测定其蒸汽的相对分子质量为 198,则其气体的分子式为_________。

1s22s22p63s23p63d104s1 铜的金属键强度大于钙 C 4 正四面体 O>S>H>Cu CuCl
Cu2Cl2
(1)铜是29号元素,核外电子排布遵循能量最低原理,铜的基态原子核外电子排布式为1s22s22p63s23p63d104s1,故答案为:1s22s22p63s23p63d104s1;
(2)铜的原子半径比钙小,金属键比钙强,因此铜的熔点比钙的高,故答案为:铜的金属键强度大于钙;
(3)金属铜的晶胞为面心立方堆积,A为体心立方,B为简单立方,C为面心立方,D为六方堆积,故选C;
(4)根据图示,胆矾晶体中铜离子周围有4个水分子,配位数=4,阴离子为硫酸根离子,S的价层电子对数=4,采用sp3杂化,空间构型为正四面体;元素的非金属性越强,电负性数值越大,胆矾中所含元素O、S、H、Cu的电负性从大到小的顺序为O>S>H>Cu,故答案为:4;正四面体;O>S>H>Cu;
(5)由晶胞结构可知,Cu原子处于晶胞内部,晶胞中含有4个Cu原子,Cl原子属于顶点与面心上,晶胞中含有Cl原子数目为8×
+6×
=4,故化学式为CuCl,一个晶胞的质量为
,则晶胞的边长=
=
cm=
×1010pm,该气体的最简式为CuCl,设该气体的化学式为(CuCl)n,蒸汽的相对分子质量为 198,则n=
=2,化学式为Cu2Cl2,故答案为:CuCl;
×1010;Cu2Cl2。
版权声明
声明:有的资源均来自网络转载,版权归原作者所有,如有侵犯到您的权益
请联系本站我们将配合处理!
