我国在发射探月卫星“嫦蛾1号”之后,又成功地发射了“神舟7号”飞船,并由翟志刚成功地进行了太空漫步。设“嫦娥1号”绕月球运动的轨迹和“神舟7号”绕地球运动的轨迹都是圆,
问题描述:
我国在发射探月卫星“嫦蛾1号”之后,又成功地发射了“神舟7号”飞船,并由翟志刚成功地进行了太空漫步。设“嫦娥1号”绕月球运动的轨迹和“神舟7号”绕地球运动的轨迹都是圆,其轨道半径分别为r 1 、r 2 ,周期分别为T 1 、T 2 ,线速度分别为v 1 、v 2 ,角速度分别为ω 1 、ω 2 向心加速度分别为a 1 、a 2 ,月球和地球的质量分别为m 1 、m 2 则?(?????)
|
最佳答案: | C |
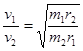
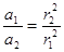
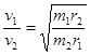
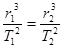
开普勒第三定律只适用于具有相同的中心天体的天体间的运算,故A错误。由公式 得 ,所以 . ,故 ,根据公式由公式 得 ,所以 , ,故 ,由公式 得 ,所以 , ,故 所以C正确。 |
版权声明
声明:有的资源均来自网络转载,版权归原作者所有,如有侵犯到您的权益
请联系本站我们将配合处理!

得
,所以
.
,故
,
得
,所以
,
,故
,由公式
得
,所以
,
,故