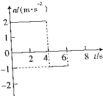
一物块在水平面上做直线运动,其加速度a随时间t变化的关系如图所示,已知在t=0时,物块以v0=2m/s的速度沿正方向运动.(1)求物块在t=6s时的速度大小.(2)请作出物块在0-6s时间内的速
问题描述:
一物块在水平面上做直线运动,其加速度a随时间t变化的关系如图所示,已知在t=0时,物块以v0=2m/s的速度沿正方向运动.
(1)求物块在t=6s时的速度大小.
(2)请作出物块在0-6s时间内的速度v随时间t变化的关系图象.
最佳答案: (1)0-4s内物块做匀加速直线运动,4s末的速度v4=v0+at4=2+2×4m/s=10m/s,4-6s内做匀减速直线运动,则6s末的速度v6=v4+at=10-1×2m/s=8m/s.(2)物块先做匀加速直线运动,然后做匀减速直线运动,速度时间图线如图...
版权声明
声明:有的资源均来自网络转载,版权归原作者所有,如有侵犯到您的权益
请联系本站我们将配合处理!
