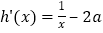
已知
.
(1)若
,求函数
的单调区间和最小值.
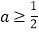
(2)若
有两个极值求实数
的取值范围。
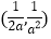
(3)若
,且
,比较
与
的大小,并说明理由。
(1)
的单调减区间为
,单调增区间为
,
.
(2)
.
(3)
;理由见解析.
(2)根据函数有两个极值点,得到其导数等于零有两个不等的正根,且在根的两侧导数的符号是相反的,分类讨论求得结果;
(3)利用导数研究其大小,借助于基本不等式求得结果.
详解:(1)∵
∴
,
∴
,令
,解得:
,列表得:






0


单调减
极小值
单调增
∴
的单调减区间为
,单调增区间为
,
;
(2)∵
有两个极值点
∴
在
上有两个不同的零点,且零点左右的
的符号的相反.
设
,则
.
当
时,
在
上恒成立,所以
在
上单调增,
在
上最多有一个零点,不合题意;
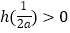
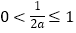
当
时,由
,解得:
∴
时,
,
时,
∴
在
上单调增,则
上单调减,
若
,则
,所以
,
在
上最多有一个零点,不合题意;若
,
,又
,

(取其他小于0的函数值也可)
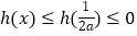
设
,
,则
在
上恒成立
∴
在
上单调减∴
,则
时,
∵
∴
∴
∴
在
、
上各有一个零点,且零点两侧的函数符号相反
∴
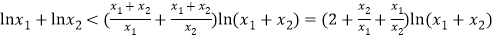
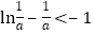
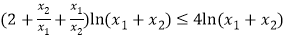
(3)结论:
.下面证明:
由(1)知:
在
上单调减,在
上单调增
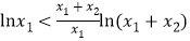
∵
∴
,即
∴
,同理
∴
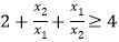
∵
,当且仅当
时取等号,且
∴
,则
∴
∴
.
版权声明
声明:有的资源均来自网络转载,版权归原作者所有,如有侵犯到您的权益
请联系本站我们将配合处理!
