已知A、B、C、D、E 为原子序数依次增大的前四周期元素。已知前四种元素的基态原子p能级都有2个单电子,E 的原子序数等于A、B、C三种元素原子序数之和。
已知A、B、C、D、E 为原子序数依次增大的前四周期元素。已知前四种元素的基态原子p能级都有2个单电子,E 的原子序数等于A、B、C三种元素原子序数之和。
试回答下列问题:
(1)基态E原子外围电子排布图为_________;其中M 能层有_____种能量不同的电子。
(2)从原子结构角度解释B 电负性大于D的原因是:_______________。
(3) 含A元素的化合物中,A 的原子间常有π键,但是含C元素的化合物中,C的原子间只能存在σ键,其主要原因是___________________。
(4)H2D2B8是一种具有强氧化性的二元酸(其中分子结构中有2个B原子显-1价),则H2D2B8的结构式为___________,分子中采取sp3杂化的B原子有______个。
(5)E 晶胞内粒子的堆积模型如图所示。

已知:E 晶胞的密度为ρg/cm3,NA代表阿伏加德罗常数值,E 的相对原子质量为M。
①E 粒子的配位数为_______。
②E 粒子半径为_______pm。
③E 晶胞中粒子的空间利用率φ=_____(用含π 的式子表示)。
【答案】
3 O和S价电子数相同,随着电子层数的增多,S的原子半径大于O,导致原子核对外层电子的吸引力减弱 硅原子半径大于碳,硅原子的原子轨道肩并肩重叠程度小,形成π键不稳定
(也可写成
) 4 12

已知A、B、C、D、E为原子序数依次增大的前四周期元素,前四种元素的基态原子p能级都有2个单电子,则A为C元素、B为O元素、C为Si元素、D为S元素,E的原子序数等于A、B、C三种元素原子序数之和,则E的原子序数为(6+8+14)=28,E为Ni元素。
(1). E是Ni元素,原子序数是28,基态原子外围电子排布式为:3d84s2,则基态原子外围电子排布图为:
,Ni原子的M能层有3s、3p、3d三种能级,则有3种能量不同的电子,故答案为:
;3;
(2). O和S元素处于同一主族,随电子层数的增多,S的原子半径大于O,导致原子核对外层电子的吸引力减弱,所以O元素的电负性大于S,故答案为:O和S价电子数相同,随着电子层数的增多,S的原子半径大于O,导致原子核对外层电子的吸引力减弱;
(3). 含碳元素的化合物中,碳的原子之间可以形成碳碳双键、碳碳三键,碳碳双键和碳碳三键中都含有π键,因硅原子半径大于碳原子,硅原子的原子轨道肩并肩重叠程度小于碳原子,形成的π键不稳定,所以含硅元素的化合物中,硅原子间只能存在σ键,故答案为:硅原子半径大于碳,硅原子的原子轨道肩并肩重叠程度小,形成π键不稳定;
(4). H2S2O8是一种具有强氧化性的二元酸,其分子结构中有2个O原子显-1价,说明该分子结构中含有过氧键:-O-O-,结合化合价代数和为0,可知硫原子显+6价,H2S2O8是一种二元酸,说明该分子结构中含有2个羟基,则H2S2O8的结构式为:
(也可写成
),由结构式可知,过氧键中的两个氧原子和羟基中的两个氧原子采取sp3杂化,所以采取sp3杂化的O原子有4个,故答案为:
(也可写成
);4;
(5). ①. 由Ni晶胞内粒子的堆积模型图可知,Ni粒子的配位数为3×8÷2=12,故答案为:12;
②. Ni晶胞是面心立方晶胞,面对角线上三个Ni粒子相切,设Ni的半径为r cm,晶胞参数为a cm,根据勾股定理可得:(4r)2=2a2,r =
a cm,由均摊法可知,1个Ni晶胞中含4个Ni粒子,则晶胞密度
=
,a=
,r =
cm=
pm,故答案为:
;
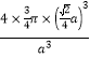
③. 晶胞中Ni粒子的数目为4个,设Ni的半径为r cm,晶胞参数为a cm,由上述计算可知,Ni粒子半径为:r =
a cm,则Ni粒子在晶胞中的空间利用率为:
=
,故答案为:
。
版权声明
声明:有的资源均来自网络转载,版权归原作者所有,如有侵犯到您的权益
请联系本站我们将配合处理!
