已知点
,O为原点,对于圆O:
上的任意一点P,直线l:
上总存在点Q满足条件
,则实数k的取值范围是______.

设
,由向量的三角形法则可得
是
的中点,即可求得
的坐标,将
的坐标代入直线
的方程,变形可得
,分析
的几何意义,结合直线与圆的位置关系,分析可得答案.

根据题意,
是圆
上任意一点,
可设
,
若点
满足条件
,则
是
的中点,
则
的坐标为
,
若
在直线
上,则
,
变形可得
,
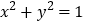
即
表示单位圆上的点
与点
连线的斜率,
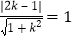
设过点
的直线
与圆
相切,
则有
,
解可得
或
,
则有
,即
的取值范围为
,故答案为
版权声明
声明:有的资源均来自网络转载,版权归原作者所有,如有侵犯到您的权益
请联系本站我们将配合处理!
上一篇 : 公民道德包括:
下一篇 :公民道德的基本要求是什么?
