已知函数
.
解不等式
;
若
对
恒成立,求实数
的取值范围.
(1)
(2)
分析:(1)由题知不等式
即
,分类讨论去掉绝对值号,即可求解不等式的解集;
(2)由绝对值的三角不等式得
,进而得到
,即可解实数
的取值范围.
详解:(1)由题知不等式
即
,
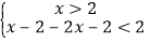
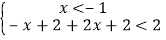
等价于
或
或
,
解得
或
或
,
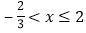
∴原不等式的解集为
.
(2)由题知
,
∴
的最小值为3,
∴
,
解得
,
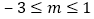
∴实数
的取值范围为
.
版权声明
声明:有的资源均来自网络转载,版权归原作者所有,如有侵犯到您的权益
请联系本站我们将配合处理!
