已知函数f(x)=2lnx﹣x2+ax(a∈R).
若函数f(x)的图象在x=2处切线的斜率为﹣1,且不等式f(x)≥2x+m在[
,e]上有解,求实数m的取值范围;
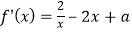
解:由
,
得切线的斜率k=f'(2)=a﹣3=﹣1,∴a=2,
故f(x)=2lnx﹣x2+2x,
由f(x)≥2x+m,得m≤2lnx﹣x2 ,
∵不等式f(x)≥2x+m在[
,e]上有解,∴m≤(2lnx﹣x2)max .
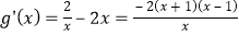
令g(x)=2lnx﹣x2 , 则
,
∵x∈[
,e],故g′(x)=0时,x=1.
当
<x<1时,g'(x)>0;当1<x<e时,g'(x)<0.
故g(x)在x=1处取得最大值g(1)=﹣1,
∴m≤﹣1
【解析】通过求导得到函数f(x)的图象在x=2处切线的斜率,由此求得a=2,得到函数解析式,然后利用分离变量法得到m≤2lnx﹣x2 , 利用导数求出g(x)=2lnx﹣x2在[
,e]上的最大值得答案.
版权声明
声明:有的资源均来自网络转载,版权归原作者所有,如有侵犯到您的权益
请联系本站我们将配合处理!
