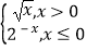
已知函数f(x)=
, 则f[f(﹣4)]=______
4
【解析】解:函数f(x)=
,
则f[f(﹣4)]=f(24)=
=4.
所以答案是:4.
【考点精析】根据题目的已知条件,利用函数的值的相关知识可以得到问题的答案,需要掌握函数值的求法:①配方法(二次或四次);②“判别式法”;③反函数法;④换元法;⑤不等式法;⑥函数的单调性法.
版权声明
声明:有的资源均来自网络转载,版权归原作者所有,如有侵犯到您的权益
请联系本站我们将配合处理!
上一篇 : 优抚对象的范围有那些人?
下一篇 :全国助残月是5月,全国助残日是?
