已知抛物线
的焦点为F,F关于原点的对称点为P,过F作
轴的垂线交抛物线于M,N两点,给出下列三个结论:
①
必为直角三角形;
②直线
必与抛物线相切;
③
的面积为
.其中正确的结论是___.
①②③
【解析】对于①,验证
是否成立即可得到结论是否正确;对于②,求出直线PM的方程后与抛物线方程联立消去
得到关于
的二次方程,根据判别式的符号进行验证即可得到结论是否正确;对于③,根据三角形的面积公式求出
的面积后进行验证即可.
对于①:由题意得抛物线
的焦点为
∴
过F作
轴的垂线交抛物线于M,N两点,则
,
∴F为MN的中点,且
∴
为等腰直角三角形,故①正确;
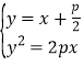
对于②:直线PM的方程为
,
由
消去
整理得
∴
∴直线PM与抛物线相切,故②正确;
对于③:由题意得
,故③正确.
综上可得正确结论的序号为①②③.
故答案为:①②③
版权声明
声明:有的资源均来自网络转载,版权归原作者所有,如有侵犯到您的权益
请联系本站我们将配合处理!
