已知抛物线y1=x2与直线y2=-
x+3相交于A,B两点.
(1)求这两个交点的坐标;
(2)点O的坐标是原点,求△AOB的面积;
(3)直接写出当y1<y2时,x的取值范围.

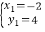
(1) A(-2,4),B(
,
) ; (2) S△AOB=
;(3)-2<x<
.
(1)根据解方程组,可得交点坐标;
(2)根据面积的和差,可得答案;
(3)根据函数与不等式的关系,可得答案.
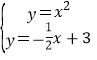
(1)联立抛物线y1=x2与直线y2=-
x+3,得
,
解得
,
,
A(-2,4),B(
,
);
(2)如图,

当y=0时,-
x+3=0,解得x=6,
即C(6,0).
S△AOB=S△AOC-S△BOC=
×6×4-
×6×
=
;
(3)抛物线在直线的下方,得-2<x<
.
版权声明
声明:有的资源均来自网络转载,版权归原作者所有,如有侵犯到您的权益
请联系本站我们将配合处理!
