已知抛物线y=ax2+bx+2过点A(﹣1,﹣1),B(1,3).
(1)求此抛物线的函数解析式;
(2)求该抛物线的对称轴和顶点坐标。
【答案】(1)y=-x2+2x+2;(2)对称轴为直线x=1,顶点坐标为(1,3).
【解析】(1)将A与B坐标代入二次函数解析式求出a与c的值,即可确定出二次函数解析式;
(2)化成顶点式确定出对称轴,以及顶点坐标,
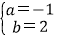
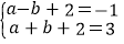
(1)∵抛物线y=ax2+bx+2过点A(-1,-1),B(1,3).
∴
,
解得:
,
则二次函数解析式为y=-x2+2x+2;
(2)∵y=-x2+2x+2=-(x-1)2+3,
∴对称轴为直线x=1,顶点坐标为(1,3).
版权声明
声明:有的资源均来自网络转载,版权归原作者所有,如有侵犯到您的权益
请联系本站我们将配合处理!
