已知数列{an}的前n项和为Sn , a1=0,an+1﹣Sn=n. 求证:数列{an+1}是等比数列,并求数列{an}的通项公式;
已知数列{an}的前n项和为Sn , a1=0,an+1﹣Sn=n. 求证:数列{an+1}是等比数列,并求数列{an}的通项公式;
【答案】解:由an+1﹣Sn=n,得an﹣Sn﹣1=n﹣1(n≥2),
两式相减得an+1﹣an﹣(Sn﹣Sn﹣1)=1,即an+1=2an+1,
所以an+1+1=2(an+1)(n≥2),
又a1=0,a2=1,则a2+1=2(a1+1),所以an+1+1=2(an+1)对任意n∈N*成立,
所以数列{an+1}是以a1+1=1为首项,2为公比的等比数列.
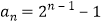
所以,数列{an}的通项公式
.
条件an+1﹣Sn=n中令n=n﹣1得 an﹣Sn﹣1=n﹣1,两式相减得递推关系式an+1=2an+1,结合a1=0可证数列{an+1}是等比数列,并求数列{an}的通项公式.
版权声明
声明:有的资源均来自网络转载,版权归原作者所有,如有侵犯到您的权益
请联系本站我们将配合处理!
