质量2 kg的物体在光滑平面上运动,其分速度vx和vy随时间变化的图像如图,求:

(1)物体受到的合力;
(2)物体的初速度;
(3)t=8s时物体的速度;
(4)t=8s时物体的位移大小。
【答案】(1)1N;(2)3m/s,沿x方向;(3)5m/s,与x方向成530;(4)28.8m
【解析】根据图象甲可知物体的初速度,根据图象乙可求得物体的加速度,由牛顿第二定律求合力,根据速度与位移的合成求解。
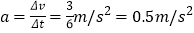
(1)由图象乙可知物体的加速度:
,
由牛顿第一定律:F=ma=2×0.5N=1N;方向沿y轴正方向
(2)由图象可知物体的初速度:
,方向沿x轴正向。
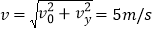
(3)t=8s末,
,
,所以物体速度为:
,
方向与x轴夹角α,sinα=0.8 所以α=530
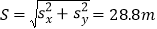
(4)t=8s时,物体沿x轴方向的位移:
y方向的位移:
所以物体位移:
。
版权声明
声明:有的资源均来自网络转载,版权归原作者所有,如有侵犯到您的权益
请联系本站我们将配合处理!
