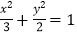
在平面直角坐标系
中,椭圆
的长轴长
,短轴长
.

(1)求椭圆的方程;
(2)记椭圆的左右顶点
,分别过
作
轴的垂线交直线
于点
,
为 椭圆上位于
轴上方的动点,直线
,
分别交直线
于点
,
.
(i)当直线
的斜率为2时,求
的面积;
(ii)求
的最小值.
(1)
;(2)
(1)直接利用已知求出a和b即得椭圆的方程.(2) (i)先求出点E,F的坐标,再求|EF|,再求
的面积. (ii)先分别求DE,CF,再求
.再利用基本不等式求
的最小值.
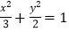
(1)由题得
,所以椭圆的方程为
.
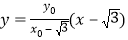
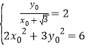
(2)由(1)知
,
,
设
,则
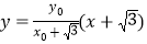
,直线
的方程为
,
令
,得
,
直线
的方程为
,令
,得
,
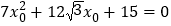
(i)当直线
的斜率为
时,有
,消去
并整理得,
解得
或
(舍),
所以
的面积
.
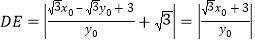
(ii)
,
,
所以
.
所以DE+CF
.
所以对任意的动点
,
的最小值为
.
版权声明
声明:有的资源均来自网络转载,版权归原作者所有,如有侵犯到您的权益
请联系本站我们将配合处理!
上一篇 : ( )是安全稳定工作的第一责任人。
下一篇 :公民道德包括:
