奥鹏学习网【aopeng123.cn】整理了关于2023年中考数学知识点:二元一次方程易错点(4),希望对考生们有所帮助,仅供参考。消元不明确

错解:①+②得3x+z=-2,②+③得5x-y=-7,联立得:

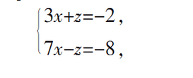
接下来就不知道该怎么办了.剖析:解方程组的基本思想是“消元”,把三元变两元,把两元变一元.把三元变两元时,应认准消去哪一个元,不能 “三心二意”.比如本题可以认准消去y或消去z.正解:①+②得3x+z=-2,②×2+③得7x-z=-8,联立得:

以下略.
最新中考资讯、中考政策、考前准备、中考预测、录取分数线等 中考时间线的全部重要节点 尽在"奥鹏学习网【aopeng123.cn】"微信公众号版权声明
声明:有的资源均来自网络转载,版权归原作者所有,如有侵犯到您的权益
请联系本站我们将配合处理!
