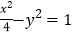
的焦点到渐近线的距离为( )
A.
B. 2 C.
D. 1
D
【解析】分别求出双曲线的焦点坐标和渐近线方程,利用点到直线的距离公式,能求出结果.
双曲线
中,焦点坐标为(
,0),
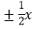
渐近线方程为:y=
即x
∴双曲线的焦点到渐近线的距离d=
=1.
故选:C.
版权声明
声明:有的资源均来自网络转载,版权归原作者所有,如有侵犯到您的权益
请联系本站我们将配合处理!
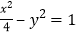
的焦点到渐近线的距离为( )
A.
B. 2 C.
D. 1
D
【解析】分别求出双曲线的焦点坐标和渐近线方程,利用点到直线的距离公式,能求出结果.
双曲线
中,焦点坐标为(
,0),
渐近线方程为:y=
即x
∴双曲线的焦点到渐近线的距离d=
=1.
故选:C.
声明:有的资源均来自网络转载,版权归原作者所有,如有侵犯到您的权益
请联系本站我们将配合处理!