给出下列4个关于分式的变形,其中正确的个数为 ( )
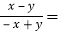
①
,②
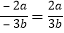
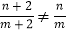
,③
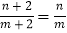
,④
.
A. 1个
B. 2个
C. 3个
D. 4个
【答案】C
【解析】①
,故①正确;②
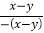
,故②正确;③
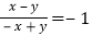
,故③错误;④ 
=-1,故④正确,
故选C.
版权声明
声明:有的资源均来自网络转载,版权归原作者所有,如有侵犯到您的权益
请联系本站我们将配合处理!
给出下列4个关于分式的变形,其中正确的个数为 ( )
①
,②
,③
,④
.
A. 1个
B. 2个
C. 3个
D. 4个
【答案】C
【解析】①
,故①正确;②
,故②正确;③
,故③错误;④ 
=-1,故④正确,
故选C.
声明:有的资源均来自网络转载,版权归原作者所有,如有侵犯到您的权益
请联系本站我们将配合处理!