关于x的一元二次方程
有两个不相等的实数根.
(1)求k的取值范围;
(2)当k为正整数时,求此时方程的根.
【答案】(1)k<2(2)
分析:(1)根据一元二次方程根的判别式与根的关系列出不等式即可求出k的取值范围;
(2)根据(1)中的k的取值范围和k为正整数得出k的值,再解方程即可,
详解:(1)∵关于x的一元二次方程有两个不相等的实数根,
∴
,
=8-4k >0.,
∴
;
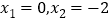
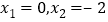
(2)∵k为正整数,
∴k=1,
解方程
得,
.
版权声明
声明:有的资源均来自网络转载,版权归原作者所有,如有侵犯到您的权益
请联系本站我们将配合处理!
