经过近7年时间,2亿千米在太空中穿行后,美航天局和欧航天局合作研究出“卡西尼”号土星探测器于美国东部时间6月30日抵达预定轨道,开始“拜访”土星及其卫星家族.这是人类首次针对土星及其31颗已知卫星最详
经过近7年时间,2亿千米在太空中穿行后,美航天局和欧航天局合作研究出“卡西尼”号土星探测器于美国东部时间6月30日抵达预定轨道,开始“拜访”土星及其卫星家族.这是人类首次针对土星及其31颗已知卫星最详尽的探测.若“卡西尼”号土星探测器进入环绕土星上空的圆轨道飞行,已知土星半径为R,探测器离土星表面高度为h,环绕n周飞行时间为t,求:
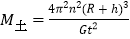
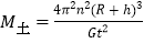
(1)土星的质量M;
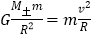
(2)若在土星上发射一颗卫星,至少需要多大的速度?
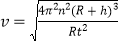
【答案】(1)
(2)
(1)根据万有引力提供向心力为:
解得:
;
(2)“卡西尼”绕土星表面匀速圆周运动:
,
所以最小速度:
;
版权声明
声明:有的资源均来自网络转载,版权归原作者所有,如有侵犯到您的权益
请联系本站我们将配合处理!
