如图,
的边
,
,
°,求边
的长.


过点A作AD⊥BC于点D,运用30度角所对的直角边等于斜边的一半及勾股定理即可求解.
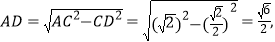
解:过点A作AD⊥BC于点D,

∴
,
∵
, ∠C=60°,
∴
,
∴

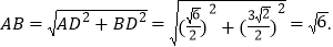
∵
,
∴
,
∴
版权声明
声明:有的资源均来自网络转载,版权归原作者所有,如有侵犯到您的权益
请联系本站我们将配合处理!
如图,
的边
,
,
°,求边
的长.


过点A作AD⊥BC于点D,运用30度角所对的直角边等于斜边的一半及勾股定理即可求解.
解:过点A作AD⊥BC于点D,

∴
,
∵
, ∠C=60°,
∴
,
∴

∵
,
∴
,
∴
声明:有的资源均来自网络转载,版权归原作者所有,如有侵犯到您的权益
请联系本站我们将配合处理!