如图,在4×4的方格纸中(共有16个小方格),每个小方格都是边长为1的小正方形,O,A,B分别是小正方形的顶点,则扇形OAB的弧长等于____.(结果保留根号及π)
如图,在4×4的方格纸中(共有16个小方格),每个小方格都是边长为1的小正方形,O,A,B分别是小正方形的顶点,则扇形OAB的弧长等于____.(结果保留根号及π)


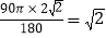
根据正方形的性质,得扇形所在的圆心角是90°,扇形的半径是2
.
解:根据图形中正方形的性质,得
∠AOB=90°,OA=OB=2
.
∴扇形OAB的弧长等于
π.
版权声明
声明:有的资源均来自网络转载,版权归原作者所有,如有侵犯到您的权益
请联系本站我们将配合处理!
