如图,在Rt△ABC中,∠C=90°,AC=
,BC=1,以C为圆心,CB为半径的圆交AB于点P.求线段AP的长.


过点
作
于点
,利用勾股定理求出
的长;运用三角形的面积公式求出
斜边上的高
;根据垂径定理及勾股定理求出
的长,即可解决问题.
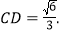
过点
作
于点
,

在
中,


解得:
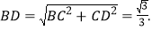
在
中,

而

版权声明
声明:有的资源均来自网络转载,版权归原作者所有,如有侵犯到您的权益
请联系本站我们将配合处理!
如图,在Rt△ABC中,∠C=90°,AC=
,BC=1,以C为圆心,CB为半径的圆交AB于点P.求线段AP的长.


过点
作
于点
,利用勾股定理求出
的长;运用三角形的面积公式求出
斜边上的高
;根据垂径定理及勾股定理求出
的长,即可解决问题.
过点
作
于点
,

在
中,


解得:
在
中,

而

声明:有的资源均来自网络转载,版权归原作者所有,如有侵犯到您的权益
请联系本站我们将配合处理!