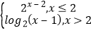
设f(x)=
, 则f(f(5))=______
1
【解析】由题意知,f(x)=
,
则f(5)=log24=2,
∴f(f(5))=f(2)=22﹣2=1.
所以答案是:1.
【考点精析】利用函数的值对题目进行判断即可得到答案,需要熟知函数值的求法:①配方法(二次或四次);②“判别式法”;③反函数法;④换元法;⑤不等式法;⑥函数的单调性法.
版权声明
声明:有的资源均来自网络转载,版权归原作者所有,如有侵犯到您的权益
请联系本站我们将配合处理!
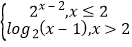
设f(x)=
, 则f(f(5))=______
1
【解析】由题意知,f(x)=
,
则f(5)=log24=2,
∴f(f(5))=f(2)=22﹣2=1.
所以答案是:1.
【考点精析】利用函数的值对题目进行判断即可得到答案,需要熟知函数值的求法:①配方法(二次或四次);②“判别式法”;③反函数法;④换元法;⑤不等式法;⑥函数的单调性法.
声明:有的资源均来自网络转载,版权归原作者所有,如有侵犯到您的权益
请联系本站我们将配合处理!