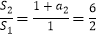
已知等差数列{an}中,a1=1,前n项和为Sn且满足条件:<img alt="1" src="/tk/20210512/1620750836574.png&quo
已知等差数列{an}中,a1=1,前n项和为Sn且满足条件:
(n∈N*).求数列{an}的通项公式;
解:∵等差数列{an}中,a1=1,前n项和为Sn且满足条件:
(n∈N*).
∴
=3,解得a2=2,
∴公差d=a2﹣a1=1.
∴an=1+(n﹣1)×1=n.
【解析】由等差数列{an}中,a1=1,前n项和为Sn且满足条件:
(n∈N*).取n=1时,可得
, 解得a2=2,可得公差d=a2﹣a1 . 利用等差数列的通项公式即可得出.
【考点精析】解答此题的关键在于理解等差数列的通项公式(及其变式)的相关知识,掌握通项公式:
或
.
版权声明
声明:有的资源均来自网络转载,版权归原作者所有,如有侵犯到您的权益
请联系本站我们将配合处理!
