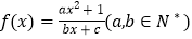
已知函数<img alt="1" src="/tk/20210512/1620760888665.png"/>是奇函数,且<img alt=&
已知函数
是奇函数,且
,
(1)求函数解析式;
(2)判断并证明
在
上的单调性
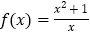
(1)
;(2)见解析
(1)根据奇函数性质得
,解得
,再根据
以及
得
,(2)利用函数单调性定义证明
在
为增函数.
(1)由题意知,函数
是奇函数,
,则
而
,即有
,而
,
由此可得
,
(2)在
任取
,
而
,
因此
在
为增函数.
版权声明
声明:有的资源均来自网络转载,版权归原作者所有,如有侵犯到您的权益
请联系本站我们将配合处理!
