已知<img alt="1" src="/tk/20210511/1620741993975.png"/>,则<img alt="2
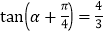
已知
,则
______________.

根据二倍角公式,以及齐次式切化弦的应用得到原式等于
,代入求值即可.

故答案为:
版权声明
声明:有的资源均来自网络转载,版权归原作者所有,如有侵犯到您的权益
请联系本站我们将配合处理!
已知
,则
______________.

根据二倍角公式,以及齐次式切化弦的应用得到原式等于
,代入求值即可.

故答案为:
声明:有的资源均来自网络转载,版权归原作者所有,如有侵犯到您的权益
请联系本站我们将配合处理!