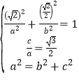
已知椭圆<img alt="1" src="/tk/20210512/1620750877310.png"/>+<img alt="
已知椭圆
+
=1(a>b>0)的离心率为
, 且过点(
,
).
(1)求椭圆方程;
(2)设不过原点O的直线l:y=kx+m(k≠0),与该椭圆交于P、Q两点,直线OP、OQ的斜率依次为k1、k2 , 满足4k=k1+k2 , 试问:当k变化时,m2是否为定值?若是,求出此定值,并证明你的结论;若不是,请说明理由.
【答案】解:(1)依题意可得
,解得a=2,b=1
所以椭圆C的方程是
(2)当k变化时,m2为定值,证明如下:
由
得,(1+4k2)x2+8kmx+4(m2﹣1)=0.
设P(x1 , y1),Q(x2 , y2).则x1+x2=-
,x1x2=
…(•)
∵直线OP、OQ的斜率依次为k1 , k2 , 且4k=k1+k2 ,
∴4k=
=
,得2kx1x2=m(x1+x2),
将(•)代入得:m2=
,
经检验满足△>0.
【解析】(1)利用已知条件列出方程组求解椭圆的几何量,得到椭圆的方程.
(2)联立直线与椭圆方程,设P(x1 , y1),Q(x2 , y2).利用韦达定理,通过直线OP、OQ的斜率依次为k1 , k2 , 且4k=k1+k2 , 求解即可.
【考点精析】解答此题的关键在于理解椭圆的标准方程的相关知识,掌握椭圆标准方程焦点在x轴:
,焦点在y轴:
.
版权声明
声明:有的资源均来自网络转载,版权归原作者所有,如有侵犯到您的权益
请联系本站我们将配合处理!
