已知以C为圆心的动圆过定点A(﹣3,0),且与圆B:(x﹣3)2+y2=64(B为圆心)相切,点C的轨迹为曲线T.设Q为曲线T上(不在x轴上)的动点,过点A作OQ(O为坐标原点)的平行线交曲线T于M,
已知以C为圆心的动圆过定点A(﹣3,0),且与圆B:(x﹣3)2+y2=64(B为圆心)相切,点C的轨迹为曲线T.设Q为曲线T上(不在x轴上)的动点,过点A作OQ(O为坐标原点)的平行线交曲线T于M,N两点.
求曲线T的方程.
【答案】解:∵A(﹣3,0)在圆B的内部,∴两圆相内切,所以|CA|+|CB|=8>6,
∴C点的轨迹是以A,B为焦点的椭圆,2a=8,a=4;2c=6,∴c=3,b=
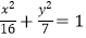
∴曲线T的方程为:
.
判断两圆相内切,求出|CA|+|CB|=8,说明C点的轨迹是以A,B为焦点的椭圆,求出长轴长,短轴长,即可得到曲线T的方程。
版权声明
声明:有的资源均来自网络转载,版权归原作者所有,如有侵犯到您的权益
请联系本站我们将配合处理!
