如图,要建一个面积为45 m2的长方形养鸡场(分为两片),养鸡场的一边靠着一面长为14m的墙,另几条边用总长为22 m的竹篱笆围成,每片养鸡场的前面各开一个宽l m的门.求这个养鸡场的长与宽.
如图,要建一个面积为45 m2的长方形养鸡场(分为两片),养鸡场的一边靠着一面长为14m的墙,另几条边用总长为22 m的竹篱笆围成,每片养鸡场的前面各开一个宽l m的门.求这个养鸡场的长与宽.

这个养鸡场的长为9m,宽为5 m.
【解析】设鸡场的长为xm,宽为ym,根据鸡场的面积和周长列出两个等量关系,解方程组即可,注意鸡场的长小于围墙的长.
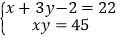
解:设鸡场的长为xm,宽为ym,由题意可得:
,且x<14,解得y=3或5;
当y=3时,x=15;
∵x<14,
∴不合题意,舍去;
当y=5时,x=9,经检验符合题意。
答:这个养鸡场的长为9m,宽为5m.
版权声明
声明:有的资源均来自网络转载,版权归原作者所有,如有侵犯到您的权益
请联系本站我们将配合处理!
下一篇 :返回列表
