已知等差数列{an}的前n项和为Sn , 且S10=55,S20=210.求数列{an}的通项公式;
【答案】解:设等差数列{an}的公差为d,则
.
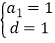
由已知,得
即
解得
所以an=a1+(n﹣1)d=n(n∈N*).
【解析】设出其首项和公差,直接利用S10=55,S20=210求出首项和公差即可求数列{an}的通项公式.
【考点精析】通过灵活运用等差数列的通项公式(及其变式),掌握通项公式:
或
即可以解答此题.
版权声明
声明:有的资源均来自网络转载,版权归原作者所有,如有侵犯到您的权益
请联系本站我们将配合处理!
