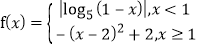
已知函数
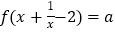
,则方程
(
)的实数根个数不可能为( )
A. 5个 B. 6个 C. 7个 D. 8个
【答案】A
【解析】以f(x)=1的特殊情形为突破口,解出x=1或3或
或﹣4,将x+
﹣2看作整体,利用换元的思想方法进一步讨论.
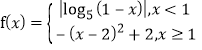
∵函数
,
即f(x)=
,
因为当f(x)=1时,x=1或3或
或﹣4,
则当a=1时,x+
﹣2=1或3或
或﹣4,
又因为 x+
﹣2≥0或x+
﹣2≤﹣4,
所以,当x+
﹣2=﹣4时只有一个x=﹣2与之对应.
其它情况都有2个x值与之对应,故此时所求的方程有7个根,
当1<a<2时,y=f(x)与y=a有4个交点,故有8个根;
当a=2时,y=f(x)与y=a有3个交点,故有6个根;
综上:不可能有5个根,
故选:A.
版权声明
声明:有的资源均来自网络转载,版权归原作者所有,如有侵犯到您的权益
请联系本站我们将配合处理!
