在平面直角坐标系中,已知直线的参数方程为(为参数).在以坐标原点为极点,轴的正半轴为极轴,且与直角坐标系长度单位相同的极坐标系中,曲线的极坐标方程是.
在平面直角坐标系
中,已知直线
的参数方程为
(
为参数).在以坐标原点
为极点,
轴的正半轴为极轴,且与直角坐标系长度单位相同的极坐标系中,曲线
的极坐标方程是
.
(1)求直线
的普通方程与曲线
的直角坐标方程;
(2)设点
.若直
与曲线
相交于两点
,求
的值.
(1)
,
;(2)
.
(1)利用代入法消去参数方程中的参数可求直线
的普通方程,极坐标方程展开后,两边同乘以
,利用
,即可得曲线
的直角坐标方程;(2)直线
的参数方程代入圆
的直角坐标方程,利用韦达定理、直线参数方程的几何意义即可得结果.
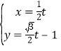
(1)将直线l的参数方程消去参数t并化简,得
直线l的普通方程为
.
将曲线C的极坐标方程化为
.
即
.∴x2+y2=2y+2x.
故曲线C的直角坐标方程为
.
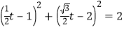
(2)将直线l的参数方程代入
中,得
.
化简,得
.
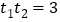
∵Δ>0,∴此方程的两根为直线l与曲线C的交点A,B对应的参数t1,t2.
由根与系数的关系,得
,
,即t1,t2同正.
由直线方程参数的几何意义知,
.
版权声明
声明:有的资源均来自网络转载,版权归原作者所有,如有侵犯到您的权益
请联系本站我们将配合处理!
